Як визначити 7 типів мембранозного проліферативного гломерулонефриту за допомогою патологічних ознак?
Jul 19, 2022
Мембранопроліферативний гломерулонефрит (MPGN) є первинним захворюванням клубочків (PG), і його проліферація може бути спричинена мітозом резидентних клітин у клубочку або запальною клітинною інфільтрацією. Хоча етіологія та патогенез досі неясні, більшість із них спричинені реакцією імунного механізму антиген-антитіло (спричиненою імунними комплексами, системою комплементу, аномальними білками чи метаболічними аномаліями), зазвичай не пов’язаної з механічною силою та стимуляцією цитокінів. .

Клацніть, щоб переглянути переваги herba Cistanche для догляду за нирками
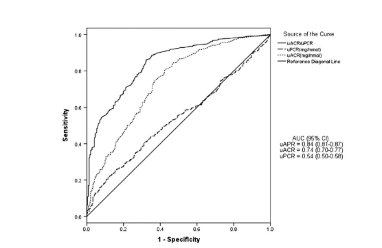
Для захворювання нирок у більшості випадків початковий діагноз можна поставити за показниками біохімічного тесту або комбінованими показниками, такими як співвідношення альбумін-креатинін у сечі (ACR), співвідношення білок-креатинін у сечі (ACR), і навіть деякі дослідження вказують що співвідношення між ними є співвідношенням альбуміну до загального білка. Коефіцієнт (APR) також має певну діагностичну цінність (рис. 1).

Крім того, попередні висновки також можна зробити на основі симптомів, таких як гематурія та протеїнурія. Гематурію можна запідозрити: мезангіальні проліферативні ураження, гломерулярні капілярні ураження, нефропатію, пов’язану з варфарином, порушення ниркового венозного повернення тощо. За кількісним аналізом можна запідозрити протеїнурію: гломерулярна, тубулярна, переповнення або змішана нефропатія.
Однак MPGN, здається, не має цінних «очевидних» маркерів судження, і патологічна діагностика є більш необхідною для діагностики таких захворювань. Можна сказати, що ПГ, включаючи MPGN, вторинну клубочкову нефропатію та інші захворювання нирок, можуть проявлятися схожими симптомами, але клінічні прояви не всі тісно пов’язані з типом патології, що говорить про те, що лікарям слід уважно поставитися до патологічного діагнозу. Зверніть увагу на підказки в фрагментах.
Діагностика та патологоанатомічна класифікація МПГН
Як випливає з назви, найважливішою патологічною зміною в MPGN є утворення «структури, подібної до базальної мембрани», яка може показувати подвійну доріжку під світловим мікроскопом, а іноді може спостерігатися субепітеліальне відкладення, яке називається «спайковий процес». бачив. Серед них подвійна зміна — це синтез нової базальної мембрани після тривалого та хронічного пошкодження ендотеліальних клітин клубочка, і нова базальна мембрана та вихідна базальна мембрана співіснують. На противагу, наприклад, при гломерулонефриті після гострої інфекції двоколійні зміни відсутні.
Існує 3 типи MPGN, усі з яких можуть бути спричинені первинними (ідіопатичними) або вторинними причинами, з яких MPGN типу II було замінено новим визначенням «хвороби щільних відкладень» (DDD).

Однак навіть за наявності патології диференціальна діагностика МПГН може бути утруднена. Грунтуючись лише на даних електронної мікроскопії, MPGN і C3 гломерулонефрит (C3GN) можуть бути сплутані результатами переважної електронної мікроскопії (EM) для MPGN та результатами імунофлюоресценції (IF) для C3GN. Загалом MPGN типу I та MPGN типу III є захворюваннями, пов’язаними з імунним комплексом, які характеризуються субендотеліальними/субепітеліальними проявами після ЕМ-аналізу.

Місця депонування імунних комплексів у МПГН
На практиці було виявлено, що існують імуноглобулінонегативні «тип I MPGN» або «тип III MPGN», які насправді є категорією C3GN, тоді як тип II MPGN (тепер називається DDD) є типом C3GN (рис. 3a). ). . Таким чином, MPGN були класифіковані як імуноглобулін-позитивні або негативні відповідно до IF, замість MPGN I та MPGN III, щоб уникнути сплутування діагнозу (рис. 3b). Глобулін-негативні, C3-позитивні MPGN зумовлені дисрегуляцією альтернативного шляху (AP) і термінального комплексу комплементу (TCC).
![Diagnosis based on electron microscopy results may lead to overlapping diagnosis of MPGN and C3GN [2] Diagnosis based on electron microscopy results may lead to overlapping diagnosis of MPGN and C3GN [2]](/Content/uploads/2022842169/20220719190221fe9e6c5bc67044d8b954b5bce9cb72cf.png)
Діагностика на основі результатів електронної мікроскопії може призвести до збігу діагнозу MPGN і C3GN [2]
За різними патологічними проявами МПГН поділяють на 7 типів:
Відкладення імуноглобуліну та комплементу без чіткої етіології/екстраренальне залучення;
Відкладення імуноглобуліну та комплементу з чіткою етіологією/екстраренальне залучення;
Відбувається відкладення комплементу, а депоновані імуноглобуліни затемнені;
Відкладення комплементу та моноклонального імуноглобуліну;
Відкладення комплементу та імуноглобуліну з чітко вираженими субструктурами відкладень;
Лише депонування комплементу, відсутність депонування імуноглобулінів;
Відсутність комплементу та депонування імуноглобулінів.

Патологічні моделі MPGN типу I та II (рис. 5) показують, що: збільшення мезангіальних клітин і матриксу призводить до значного збільшення клубочкових часточок (1) мезангіальна цитоплазма проникає в мембрану; (2) відкладення комплексу великих імунних клітин; (3) Зміна 2 плюс 3 явно потовщує базальну мембрану, але в типі I це проявляється як субендотеліальний розрив, а в типі II утворюється безперервне лінійне щільне відкладення, яке є DDD.
![Pathological patterns of type Ⅰ and type Ⅱ MPGN[4] Pathological patterns of type Ⅰ and type Ⅱ MPGN[4]](/Content/uploads/2022842169/2022071919034816ecae7fb0ed46758d93bcf8fdd7ed9d.png)
Патологічні моделі типу Ⅰ та типу Ⅱ MPGN[4]
Проліферативне гломерулонефритоподібне ураження є терміном морфологічного опису під світловим мікроскопом. Окрім клінічних проявів, діагноз МПГН потребує також даних електронно-мікроскопічного та імунофлюоресцентного дослідження. В імунному комплексі відкладення MPGN, відкладення імуноглобулінів, моноклональних імуноглобулінів, комплементу та імуноглобулінів з чітко вираженою субструктурою, лише відкладення комплементу та відсутність відкладення імуноглобуліну та відсутність комплементу та відкладення імуноглобуліну для підкласифікації.

Серед них відкладення імуноглобуліну можна розділити на відсутність чіткої етіології/позаниркове залучення, наявність чіткої етіології/позаниркове залучення та неясне відкладення імуноглобуліну, тоді як лише відкладення комплементу та відсутність відкладення імуноглобуліну можна далі розділити на C3GN, DDD та C4 DDD. Уточнений патологічний діагноз може стати підтримкою для вибору стратегії лікування після встановлення етіології та діагнозу.
для отримання додаткової інформації:ali.ma@wecistanche.com
